Dieses Dokument dient ausschließlich Informations- und Bildungszwecken und stellt weder Anlageberatung noch eine Anlageempfehlung dar. Es berücksichtigt keine individuellen Ziele, Risikoneigung oder finanziellen Verhältnisse. Gehebelte ETFs sind komplexe Produkte und können zu erheblichen Verlusten führen. Angaben zu Steuern und Recht sind allgemeiner Natur.
Währungsrisiko und Hebelwirkung
1 Grundlagen: Indexwährung, Fondswährung und Handelswährung
2 Hebelwirkung auf das FX-Risiko
3 Implizites vs. explizites Hedging
4 „Natürlicher Hedge“ im MSCI World
5 Formale Darstellung der Währungswirkung
6 Empirische Beobachtungen 2020–2024
7 Unhedged Exposure
Währungsrisiko und Hebelwirkung
Alle Angaben gelten, sofern nicht anders erwähnt, für im EUR-Raum ansässige Privatanleger nach deutschem Recht.
1 Grundlagen: Indexwährung, Fondswährung und Handelswährung
Ein verbreitetes Missverständnis besteht darin anzunehmen, dass die Fondswährung (z. B. EUR oder USD) automatisch bestimmt, in welcher Währung ein Anleger wirtschaftlich investiert ist. Für das tatsächlich getragene Währungsrisiko sind jedoch drei Ebenen zu unterscheiden und zusätzlich ist klar zu trennen, was auf Indexebene vs. was auf Fondsebene passiert.
Indexebene: Indexwährung und ökonomische Währungsexponierung
Die Indexwährung ist die Währung, in der ein Index berechnet und veröffentlicht wird (z. B. MSCI World häufig in USD). Entscheidend: Die Indexwährung ist primär eine Darstellungs- und Rechenkonvention. Das ökonomische Währungsrisiko entsteht nicht, weil der Index in USD gerechnet wird, sondern weil die zugrunde liegenden Aktien in unterschiedlichen Heimatwährungen notieren und ihre Rendite aus Sicht eines EUR-Anlegers durch Wechselkursänderungen mitgeprägt wird.
Währungsrisiko kann dabei grundsätzlich separat von der Aktienexponierung gesteuert werden (z. B. durch FX-Hedging der Fremdwährungsanteile), ohne dass sich das Aktienportfolio selbst ändert. [1]
Wichtig für LETFs: Bei gehebelten Indizes kann es zusätzlich vorkommen, dass die Indexkonstruktion Renditen vor Anwendung des Hebels in eine bestimmte Währung übersetzt (z. B. „EUR-denominated Strategy Index“). Dann liegt die Währungskomponente bereits im Indexreturn, der anschließend gehebelt wird. Mehr dazu in den folgenden Kapiteln.
Fondsebene: Fondswährung (Base Currency) und Kosten-/Umsetzungsrealität
Die Fondswährung (Base Currency) ist die Rechnungswährung, in der der Fonds seinen Nettoinventarwert (NAV) führt. Sie sagt allein noch nichts darüber aus, welches Fremdwährungsrisiko der Anleger trägt. Ein Fonds kann z. B. einen in USD berechneten Index replizieren und trotzdem eine Fondswährung EUR haben oder umgekehrt.
Auf Fondsebene entstehen außerdem die fondsseitigen Effekte, die neben der reinen Indexlogik wirken: TER, Umsetzungs- und Replikationsfriktionen, Swap-Konditionen und daraus resultierende Tracking-Differenzen. Diese Punkte sind nicht Teil der Indexdefinition, sondern Ergebnis der konkreten Fondsstruktur und -umsetzung.
Handelsebene: Handelswährung (Listing Currency)
Die Handelswährung ist die Währung, in der ein ETF an einer konkreten Börse gehandelt und abgerechnet wird (z. B. ein ETF „in EUR auf Xetra“). Sie beeinflusst die Preisnotierung und Abwicklung, ändert aber ohne explizite Währungsabsicherung nicht automatisch die wirtschaftliche Währungsexponierung. Ein ETF kann daher in EUR gehandelt werden und dennoch ein erhebliches USD-Exposure haben.
Zur Orientierung ist es hilfreich, Fondswährung und Indexkonstruktion getrennt zu betrachten:
-
Amundi MSCI USA Daily (2x) Leveraged UCITS ETF (FR0010755611): Fondswährung EUR; Benchmark ist ein EUR-denominierter gehebelter Index (Indexreturn wird in EUR ausgedrückt).
-
Xtrackers S&P 500 2x Leveraged Daily Swap UCITS ETF (LU0411078552): Fondswährung USD; Benchmark/Indexkonstruktion ist USD-basiert.
Für den EUR-Anleger folgt daraus: „EUR-notiert“ oder „USD-notiert“ ist für sich genommen nicht die entscheidende Frage. Entscheidend ist, in welcher Währung der Referenzindex die Rendite definiert und ob/wo eine Währungskomponente in die Hebelung mit eingeht.
Im UCITS-Segment werden gehebelte ETFs in der Praxis fast ausschließlich ohne explizite Währungsabsicherung angeboten. Der Einsatz von Derivaten unterliegt sogenannten „global-exposure“-Beschränkungen nach UCITS und ESMA-Guidelines, was den Spielraum für zusätzliches Währungsabsicherung (engl. FX-Hedging) neben der ohnehin erforderlichen Hebelung reduziert. Das tägliche Rebalancing der Swaps dient primär dazu, die Zielhebelung zum Handelsschluss zu treffen und kurzfristige Bewertungsabweichungen zu reduzieren; das längerfristige USD/EUR-Währungsrisiko bleibt bestehen. [2]
2 Hebelwirkung und Währungsrisiko
Für einen EUR-Anleger ist ein US-Aktien-LETF grundsätzlich immer eine Kombination aus Aktienrisiko (US-Aktien) und Wechselkursrisiko (USD/EUR). Entscheidend ist jedoch nicht die Handels- oder Fondswährung allein, sondern wo in der Produkt-/Indexkonstruktion die Währungsumrechnung stattfindet, denn davon hängt ab, ob die FX-Komponente im Ergebnis mitgehebelt wird oder nur als nachgelagerter Umrechnungseffekt wirkt.
Zwei prinzipielle Konstruktionslogiken (Indexebene vs. Fondsebene)
Variante A: USD-basierter gehebelter Referenzindex (FX wirkt nachgelagert).
Bei vielen LETFs ist der Referenzindex bzw. die gehebelte Indexlogik in USD definiert: Zunächst wird die tägliche Indexrendite des US-Aktienmarktes in USD ermittelt, daraus wird auf Indexebene die tägliche k-fache Zielrendite abgeleitet (abzüglich der indexseitig definierten Finanzierungskomponente).
Für den EUR-Anleger entsteht das USD/EUR-Währungsrisiko dann primär dadurch, dass der in USD ausgewiesene NAV/Preis anschließend in EUR umgerechnet wird. Das heißt: Der Hebel bezieht sich in erster Linie auf die Aktienbewegung in USD; die Währungskomponente entsteht als separater Umrechnungseffekt.
Beispiel (Xtrackers): Beim Xtrackers S&P 500 2x Leveraged Daily Swap UCITS ETF ist die Fondswährung USD; der Referenzindex und die Zinskomponente sind USD-basiert (SOFR). Damit ist die Hebelmechanik klar in USD verankert und das EUR-Ergebnis ergibt sich für einen EUR-Anleger anschließend durch die Umrechnung.
Variante B: EUR-denominierter gehebelter Index (FX ist im Indexreturn enthalten).
Bei einigen Produkten ist der Referenzindex als EUR-denominierter Index konstruiert. In diesem Fall wird die US-Aktienentwicklung in der Indexberechnung regelmäßig zunächst in EUR ausgedrückt (unter Nutzung eines festgelegten FX-Fixings), und erst dann wird auf diesen bereits EUR-übersetzten Ertrag die tägliche Hebelmechanik angewandt (inklusive des indexseitigen Finanzierungsterms).
Die Konsequenz: Die Wechselkursbewegung (USD/EUR) ist im Ertrag bereits enthalten, auf den der Hebel angewandt wird. Aus Sicht des EUR-Anlegers wirkt die FX-Komponente damit mitgehebelt und nicht als separate Nach-Umrechnung, sondern als Bestandteil der gehebelten Indexrendite.
Beispiel (Amundi): Beim Amundi MSCI USA Daily (2x) Leveraged UCITS ETF ist die Benchmark ausdrücklich ein „euro-denominated“ MSCI-Strategieindex. Der Prospekt beschreibt zudem die Verwendung eines WM/Reuters-FX-Fixings und definiert die Fremdkapitalkomponente auf Basis des (historischen) EONIA-Satzes.
Was bedeutet das praktisch für EUR-Anleger?
In FX-Trendphasen kann das die relativen Verläufe sichtbar auseinanderziehen.
Wenn der USD gegenüber dem EUR über längere Zeit deutlich abwertet, wirkt dieser Gegenwind in Konstruktionen der Variante B tendenziell stärker in der gehebelten Indexrendite, während er in Variante A nur über die Umrechnung des USD-NAV in EUR einfließt. Umgekehrt kann eine USD-Aufwertung in Variante B stärker als Rückenwind erscheinen.
Diese Beobachtung erklärt, warum zwei ähnliche 2x-USA-Produkte je nach Zeitraum trotz vergleichbarer Aktienexponierung divergieren können, selbst wenn TER und Tracking-Differenzen klein sind.
3 Implizites vs. explizites Hedging
In der Praxis ist zu unterscheiden, ob das Währungsrisiko eines ETFs ausdrücklich für den Anleger abgesichert wird oder nur innerhalb über die Konstruktion der Derivate mitgesteuert wird.
Explizites Hedging
Bei währungsgesicherten ETFs wird die Fremdwährung gegenüber der Anleger-Heimatwährung (z. B. EUR) durch eigene Devisentermingeschäfte oder -swaps abgesichert. Häufig orientiert sich der ETF an einem „100 % hedged“-Index, bei dem jede Fremdwährung regelmäßig in die Zielwährung abgesichert (engl. hedged) wird. Beispiel: Der „MSCI World 100% Hedged to EUR Index“ sichert die Währungsrisiken des MSCI World vollständig mittels monatlich rollierender FX-Forwards (laufend verlängerte Devisentermingeschäfte) ab, ohne die Aktienzusammensetzung zu verändern. [3]
Bewertungs- und Umrechnungseffekte, kein implizites Hedging
Swap-basierte LETFs replizieren ihr Ziel-Exposure typischerweise über Swaps. Die tägliche Zielhebelung bezieht sich dabei auf die im Referenzindex definierte Rendite (je nach Produkt USD- oder EUR-denominiert). Die Umrechnung zwischen USD und EUR erfolgt im Rahmen der NAV-Berechnung anhand festgelegter Bewertungs- bzw. Fixing-Konventionen und kann kurzfristige Bewertungsdifferenzen zwischen Indexstand und Fonds-NAV begrenzen. Das stellt jedoch kein eigenständiges, für den Anleger transparentes Währungshedging dar.
Aus Sicht eines EUR-Anlegers bleibt das längerfristige USD/EUR-Währungsexposure bei gehebelten Produkten grundsätzlich bestehen.
4 Das interne Hedge-Phänomen beim MSCI World
Der MSCI World ist stark, aber nicht ausschließlich, vom US-Aktienmarkt geprägt. In aktuellen Zusammensetzungen entfallen rund 70 % der Indexgewichtung auf US-Titel; Europa (inklusive Großbritannien und Schweiz) kommt zusammen auf gut 12 %, der Rest verteilt sich auf weitere Industrieländer wie Japan, Kanada und Australien.
Ein ETF auf den MSCI World bündelt damit automatisch verschiedene Währungsräume (USD, EUR, GBP, CHF, JPY, CAD, AUD usw.). Fällt der Euro gegenüber dem US-Dollar, steigen die in USD notierten Positionen in Euro gerechnet im Wert, während Euro-Titel gleichzeitig relativ an Attraktivität verlieren. Umgekehrt gilt: Stärkt sich der Euro, geben USD-Positionen in EUR nach, während europäische Titel in der Heimatwährung stabiler laufen.
Diese gegenläufigen Effekte erzeugen einen partiellen internen Ausgleich („natürlicher Hedge“) des Währungsrisikos. Empirische Analysen zeigen, dass Fremdwährungen für globale Aktienportfolios typischerweise nur etwa 15–25 % des gesamten dollarbasierten Risikobeitrags ausmachen, während der Großteil der Volatilität durch die Aktienmärkte selbst bestimmt wird. [4]
Ein global diversifizierter Hebel-ETF auf den MSCI World (z. B. via 2x-Swap auf den Index) reagiert deshalb tendenziell weniger empfindlich auf die EUR/USD-Bewegung als ein reiner S&P-500-LETF: Ein Teil der USD-Bewegungen wird durch andere Währungen im Index abgeschwächt.
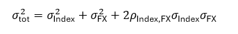
5 Formale Darstellung der Währungswirkung
Zur formalen Einordnung lässt sich die Rendite eines US-Aktienexposures aus Sicht eines EUR-Anlegers als Kombination aus Aktienrendite in USD und Wechselkursrendite betrachten. Sei dazu S der Indexstand in USD und X der EUR-Wert eines USD (z. B. „EUR pro USD“). Dann ist der EUR-Wert des Basiswertes (engl. Underlyings) proportional zu S * X. In Logarithmen addieren sich die Beiträge von Aktien- und Währungskomponente.
Für einen k-fach gehebelten, täglich resetteten LETF ergibt sich in einem kontinuierlichen Modell als Näherung für die langfristige geometrische Rendite (Logwachstum) eine Struktur der Form
wobei μ und 𝜎² Drift und Varianz der EUR-Rendite des Underlyings bezeichnen. Diese Form ist die bekannte „Hebel-Drift minus Varianzterm“-Struktur; in Avellaneda & Zhang wird der Zusammenhang zwischen LETF-Rendite, Underlying-Entwicklung, Finanzierung/Gebühren und einem Varianzterm hergeleitet (in der vereinfachten Darstellung werden Finanzierung und Gebühren ausgeklammert bzw. separat addiert). [5]
Da die EUR-Rendite des Underlyings die USD-Indexbewegung und den Wechselkurs enthält, lässt sich die Gesamtvarianz in eine Aktien-, eine Währungs- und eine Kovarianzkomponente (gemeinsamer Schwankungsanteil zweier Größen) zerlegen:
Interpretation:
-
Währungsvolatilität erhöht den Volatility Drag: Eine höhere 𝜎 von FX erhöht 𝜎². Da der Varianzterm mit k² skaliert, wirkt zusätzliche Währungsvolatilität bei LETFs überproportional auf das langfristige Logwachstum.
-
Die Korrelation entscheidet, ob FX die Gesamtvarianz dämpft oder verstärkt: Ist ρ < 0, bewegen sich USD-Aktien und USD-Wechselkurs aus EUR-Sicht tendenziell gegenläufig; der Kreuzterm reduziert dann 𝜎² und kann Drawdowns aus EUR-Sicht abmildern. Bei ρ > 0 steigt die Gesamtvarianz entsprechend.
Empirisch zeigen Studien zur Safe-Haven-Eigenschaft von Währungen, dass bestimmte Währungen in Stressregimen eine negative Beziehung zu globalen Aktienrenditen aufweisen (Safe Haven) bzw. im Durchschnitt als Hedge wirken, was Verluste am Aktienmarkt teilweise kompensieren kann. Hossfeld & MacDonald klassifizieren den Schweizer Franken als klaren Safe Haven, den USD weniger klar als Safe Haven, und den Euro als Hedge-Währung. [6]
Diese Zerlegung beschreibt die Wirkung des Wechselkurses auf die EUR-Rendite des Underlyings und den daraus resultierenden Varianzbeitrag. Ob die FX-Komponente bei einem konkreten UCITS-LETF „vor“ oder „nach“ der Hebeldefinition in der Benchmarklogik anfällt, ist eine Frage der Indexwährungs- und Benchmarkkonstruktion (siehe Kapitel 4.2, illustriert am EUR-denominierten Strategieindex vs. USD-basiertem Referenzindex).
6 Empirische Beobachtungen (2020–2024)
Die jährlichen Renditedifferenzen zwischen dem Amundi MSCI USA Daily (2x) Leveraged UCITS ETF und dem Xtrackers S&P 500 2x Leveraged Daily Swap UCITS ETF verlaufen deutlich im Gleichlauf mit der Entwicklung von EUR/USD. Auf Basis der Jahresdaten 2020–2023 ergibt sich eine Korrelation zwischen EUR/USD-Veränderung und Differenzrendite der beiden ETFs von rund ρ ≈ -0,9.
Eine einfache Regression (lineare Schätzung des Zusammenhangs) der Renditedifferenz auf die EUR/USD-Veränderung legt nahe, dass der Amundi-ETF im betrachteten Zeitraum etwa um den Faktor 1,7 stärker auf Wechselkursbewegungen reagiert als der Xtrackers-ETF. Aufgrund der sehr kurzen Stichprobe (vier Kalenderjahre) und der rein ex-post-basierten Auswertung ist dieser Wert aber nur als Illustration einer strukturell unterschiedlichen FX-Sensitivität zu verstehen, nicht als stabiler Parameter.
Eigene Berechnungen auf Basis von Tages-Schlusskursen des S&P 500, EUR/USD-Referenzkursen der Europäischen Zentralbank, sowie ETF-Kursen des Amundi MSCI USA Daily (2x) Leveraged UCITS ETF und des Xtrackers S&P 500 2x Leveraged Daily Swap UCITS ETF von etfdoc.it.
7 Unhedged Exposure
Die in einzelnen Produktunterlagen erwähnten Mechanismen zur „FX-Glättung“ dienen primär dazu, im Rahmen des täglichen Swaps Bewertungsdifferenzen zwischen Index und Fonds-NAV kurzzeitig zu reduzieren und das Tagesziel (z. B. 2x der Benchmarkrendite) möglichst genau zu treffen. Sie ersetzen kein eigenständiges, langfristiges Währungshedging aus Sicht des Anlegers.
ESMA- und UCITS-Regelwerke begrenzen zudem den zulässigen Derivateeinsatz („global exposure“) auch bei index-trackenden und gehebelten UCITS. Vor diesem Hintergrund und aus Kostengründen finden sich im UCITS-Universum zum Zeitpunkt der Erstellung dieses Dokuments keine explizit währungsgesicherten Hebel-ETFs. [2]
Quellen:
[1] MSCI, 2017: What is currency hediging?
[2] ESMA, 2014: Guidelines on ETFs and other UCITS issues
[3] SPDR, 2025: SPDR MSCI World EUR Hdg UCITS ETF (Acc) – Factsheet
[4] Northern Trust, 2015: Hedging FX in global equity
[5] Avellaneda & Zhang, 2010: Path-Dependence of Leveraged ETF Returns
[6] Hossfeld, 2014: Carry Funding and Safe Haven Currencies: A Threshold Regression Approach


